Ketahui 10+ Langkah Langkah Penelitian Kualitatif, Terbaru!
Hal menarik dari Ketahui 10+ Langkah Langkah Penelitian Kualitatif, Terbaru! adalah
1Langkah 1Mengolah dan mempersiapkan datauntukdianalisis, 2Langkah 2Membaca keseluruhan data, 3Langkah 3Menganalisis lebih detail dengan meng-coding data, 4Langkah 4Terapkan proses coding untuk mendeskripsikan setting, orang-orang, kategori-kategori, dan tema-tema yang akan dianalisis, 5Langkah 5, 6Langkah 6., 1) Reduksi DataData yang diperoleh dari lapangan jumlahnya cukup banyak, sehingga perlu dicatat secara teliti dan rinci, 2) Display Data (Penyajian Data) , 3) Penarikan Kesimpulan dan Verifikasi., 1DesainSpesifik, Jelas, Rinci, 2TujuanMenunjukan hubungan antar variabel, 3Teknik Pengumpulan DataKuesioner, 4Instrumen PenelitianTest, Angket, Wawancara Terstruktur, 5DataKuantitatif, 6SampelBesar, 7AnalisisDeduktif, 8Membuat rumusan masalah., 1Persiapan, mengkaji bahan pustaka, dan memperluas fokus perhatian., 2Memilih lokasi lapangan dan memperoleh akses untuk masuk dalam lokasi tersebut., 3Memulai di tempat penelitian dan menjalin hubungan sosial dengan orang yang diteliti., 4Memilih peran sosial., 5Mengumpulkan data di lapangan., makalah langkah langkah penelitian kualitatif, langkah-langkah penelitian kualitatif deskriptif, langkah langkah penelitian kualitatif menurut sugiyono, langkah-langkah penelitian kualitatif studi kasus, contoh penelitian kualitatif, proses penelitian kualitatif, model penelitian kualitatif, teori penelitian kualitatif,
langkah langkah penelitian kualitatif langkah langkah penelitian kualitatif Rangkuman Buku Psikologi Umum Ahmadi Abu Linguistik Id merupakan langkah langkah penelitian kualitatif dari : www.linguistikid.com

langkah langkah penelitian kualitatif langkah langkah penelitian kualitatif METODOLOGI PENELITIAN SOSIAL Husaini Usman Purnomo merupakan langkah langkah penelitian kualitatif dari : www.jualbelibukuonline.com
TAHAPAN TAHAPAN PENELITIAN KUALITATIF DAN KUANTITATIF
langkah langkah penelitian kualitatif, Adapun dibawah ini akan di paparkan mengenai langkah langkah atau tahapan penelitian dari pendekatan kualitatif dan kuantitatif yang secara garis besar dapat dibagi kedalam tiga bagian yaitu 1 Tahapan persiapan pra lapangan 2 Tahapan pekerjaan lapangan penelitian

langkah langkah penelitian kualitatif langkah langkah penelitian kualitatif Contoh Judul Pkm K Yang Menarik Jobs ID 2020 merupakan langkah langkah penelitian kualitatif dari : jobsid2017.blogspot.com

langkah langkah penelitian kualitatif langkah langkah penelitian kualitatif Makalah perbedaan penelitian kualitatif dan kuantitatif merupakan langkah langkah penelitian kualitatif dari : www.slideshare.net
langkah langkah penelitian kualitatif langkah langkah penelitian kualitatif Rangkuman Buku Psikologi Umum Ahmadi Abu Linguistik Id merupakan langkah langkah penelitian kualitatif dari : www.linguistikid.com
Langkah Langkah dalam Penelitian Ilmiah
langkah langkah penelitian kualitatif, 11 07 2020 Kembali membahas tentang teori penelitian setelah sebelumnya menguraikan tentang metode ilmiah dan langkah langkah metode ilmiah blog Penelitian Tindakan Kelas PTK dan Model Model Pembelajaran selanjutnya akan membahas tentang penelitian ilmiah dan langkah langkah melakukan penelitian ilmiah Yuk disimak

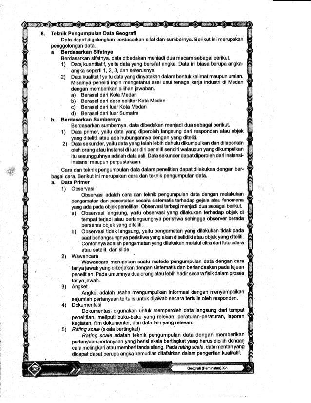
langkah langkah penelitian kualitatif langkah langkah penelitian kualitatif Bab ii langkah langkah penelitian geografi merupakan langkah langkah penelitian kualitatif dari : fr.slideshare.net

langkah langkah penelitian kualitatif langkah langkah penelitian kualitatif Kapita selekta ikm merupakan langkah langkah penelitian kualitatif dari : www.slideshare.net
Penelitian Kualitatif Pengertian Ciri Jenis Perbedaan
langkah langkah penelitian kualitatif, 09 07 2020 Penelitian Kualitatif Pengertian Menurut Para Ahli Ciri Tujuan Jenis Perbedaan Penggunaan dan Pendekatan Untuk kali ini kami akan bagi materi Bahasa Indonesia mengenai Penelitian Kualitatif yang dalam hal meliputi seperti pengertian menurut para ahli ciri tujuan jenis perbedaan penggunaan dan pendekatan kalau begitu simaka saja uraian dibawah ini

langkah langkah penelitian kualitatif langkah langkah penelitian kualitatif Materi 10 penelitian kualitatif merupakan langkah langkah penelitian kualitatif dari : www.slideshare.net
fikaamalia LANGKAH LANGKAH PENELITIAN KUALITATIF
langkah langkah penelitian kualitatif, Walaupun penelitian kualitatif lebih mendasarkan diri pada aktivitas di lapangan sasaran penelitian namun bukan berarti bahwa penyusunan rencana penelitian dapat ditinggalkan Mengapa demikian karena bagaimanapun juga kegiatan penelitian itu harus bersifat terarah dan terfokus termasuk juga penelitian kualitatif

langkah langkah penelitian kualitatif langkah langkah penelitian kualitatif Bagaimana Mengumpulkan Data Kualitatif YouTube merupakan langkah langkah penelitian kualitatif dari : www.youtube.com

langkah langkah penelitian kualitatif langkah langkah penelitian kualitatif Pengertian penelitian merupakan langkah langkah penelitian kualitatif dari : www.slideshare.net

langkah langkah penelitian kualitatif langkah langkah penelitian kualitatif Kumpulan soal ipa smk kelas x xii merupakan langkah langkah penelitian kualitatif dari : www.slideshare.net
Langkah Langkah Penelitian Kuantitatif 99 Langsung Paham
langkah langkah penelitian kualitatif, Karya Tulisku Com Ada tiga jenis pendekatan penelitian yang saat ini sering digunakan oleh mahasiswa di kampusku dulu ketiga jenis pendekatan penelitian tersebut adalah penelitian kuantitatif penelitian kualitatif serta R D Penelitian dan Pengembangan Baca Memahami penelitian kuantitatif kualitatif dan R D Kali ini karyatulisku akan membahas topik tentang langkah langkah

langkah langkah penelitian kualitatif langkah langkah penelitian kualitatif Contoh ptk bahasa indonesia kelas iv merupakan langkah langkah penelitian kualitatif dari : www.slideshare.net

langkah langkah penelitian kualitatif langkah langkah penelitian kualitatif Bagaimana Merancang Sebuah Penelitian Proposal merupakan langkah langkah penelitian kualitatif dari : shareforgoodpeople.blogspot.com
Tugas Avan Langkah Langkah Penelitian Kualitatif
langkah langkah penelitian kualitatif, 06 06 2020 Langkah Langkah Penelitian Kualitatif Prosedur dan tahap tahap yang harus dilalui apabila melakukan penelitian kualitatif adalah sebagai berikut Menetapkan Fokus Penelitian Prosedur penelitian kualitatif mendasarkan pada logika berpikir induktif sehingga perencanaan penelitianya bersifat sangat fleksibel penelitian kualitatif harus melalui

langkah langkah penelitian kualitatif langkah langkah penelitian kualitatif Pemanfaatan kulit pisang sebagai elektrolit baterai kering merupakan langkah langkah penelitian kualitatif dari : www.slideshare.net
langkah langkah penelitian kualitatif langkah langkah penelitian kualitatif jenis jenis penelitian pdf merupakan langkah langkah penelitian kualitatif dari : www.scribd.com
0 Komentar